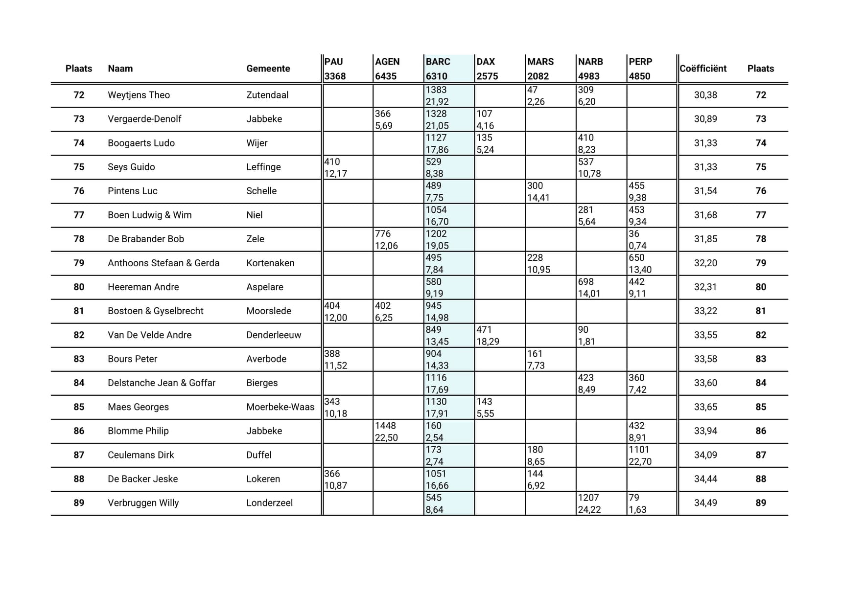
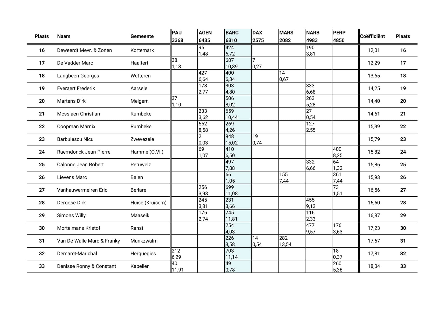
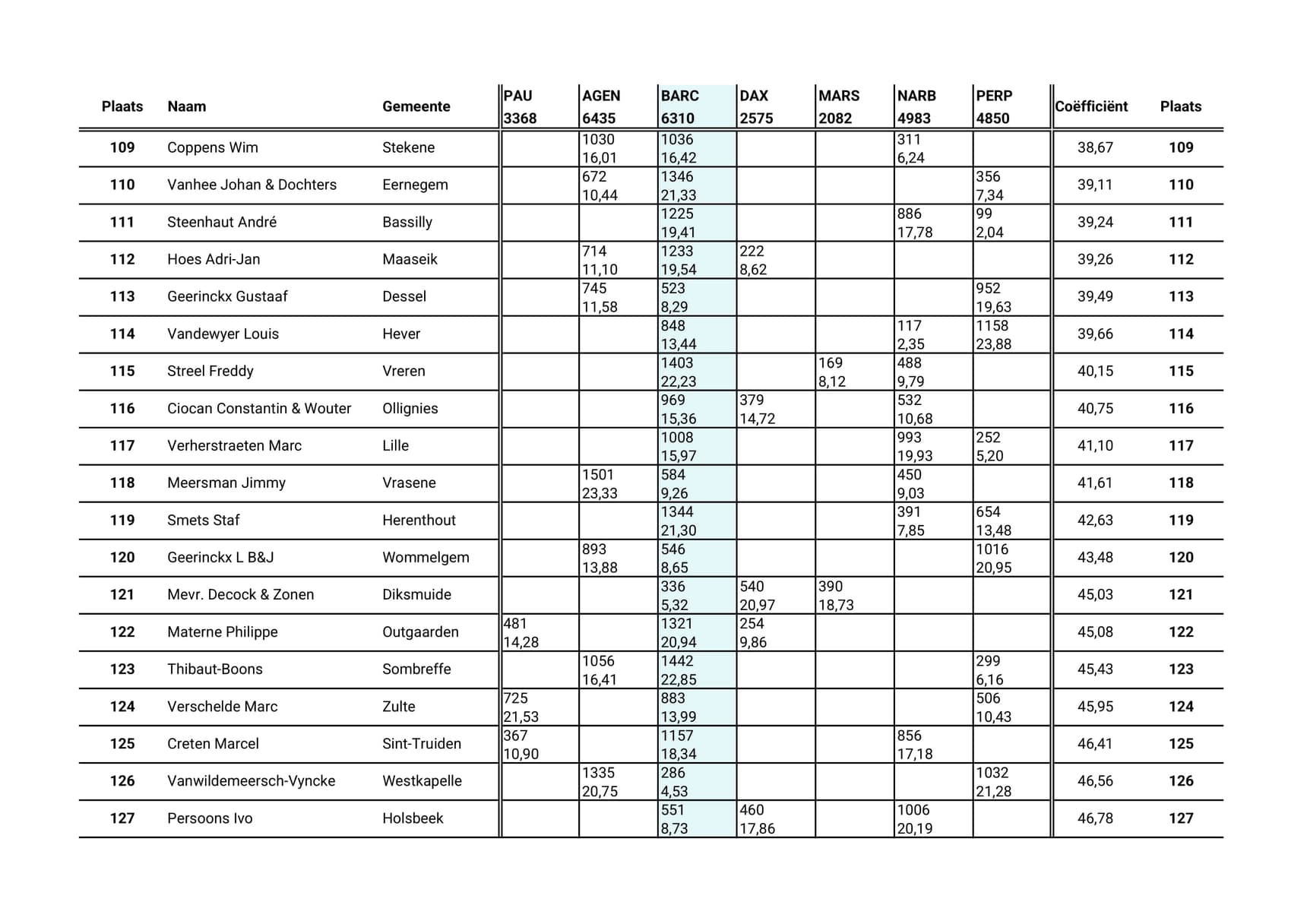
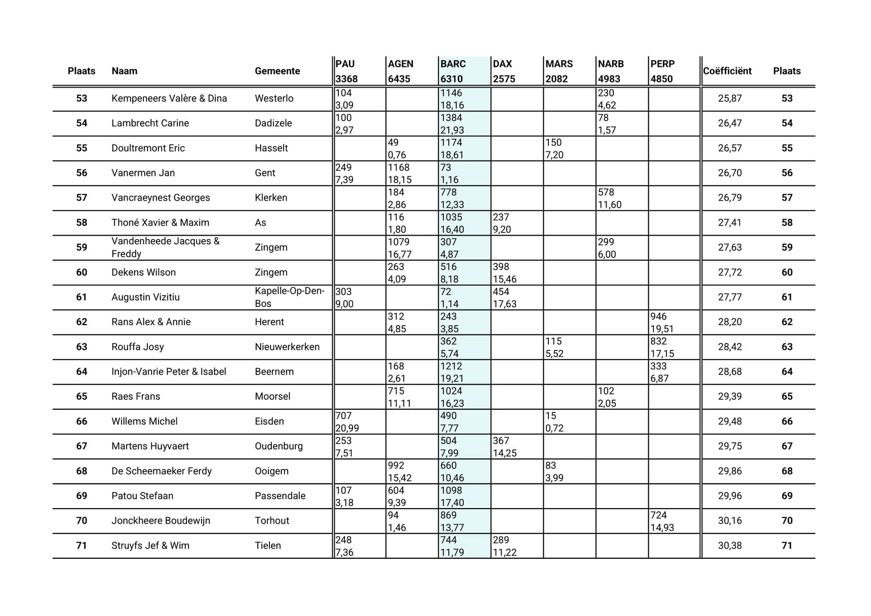
Result "National Marathon Belgium 2024" and Ace Pigeons '22-'24

result "national marathon belgium 2024" and ace pigeons '22-'24

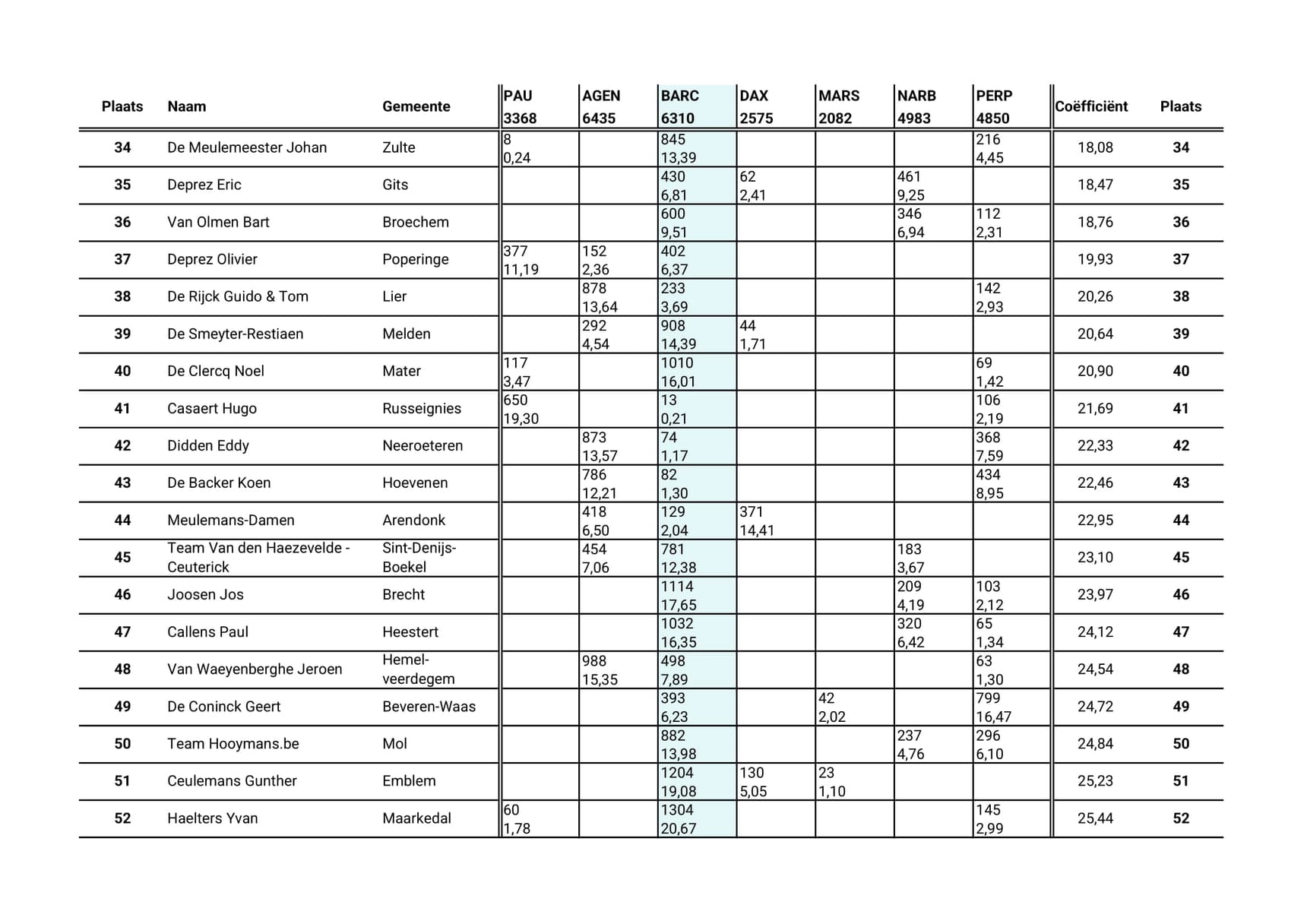
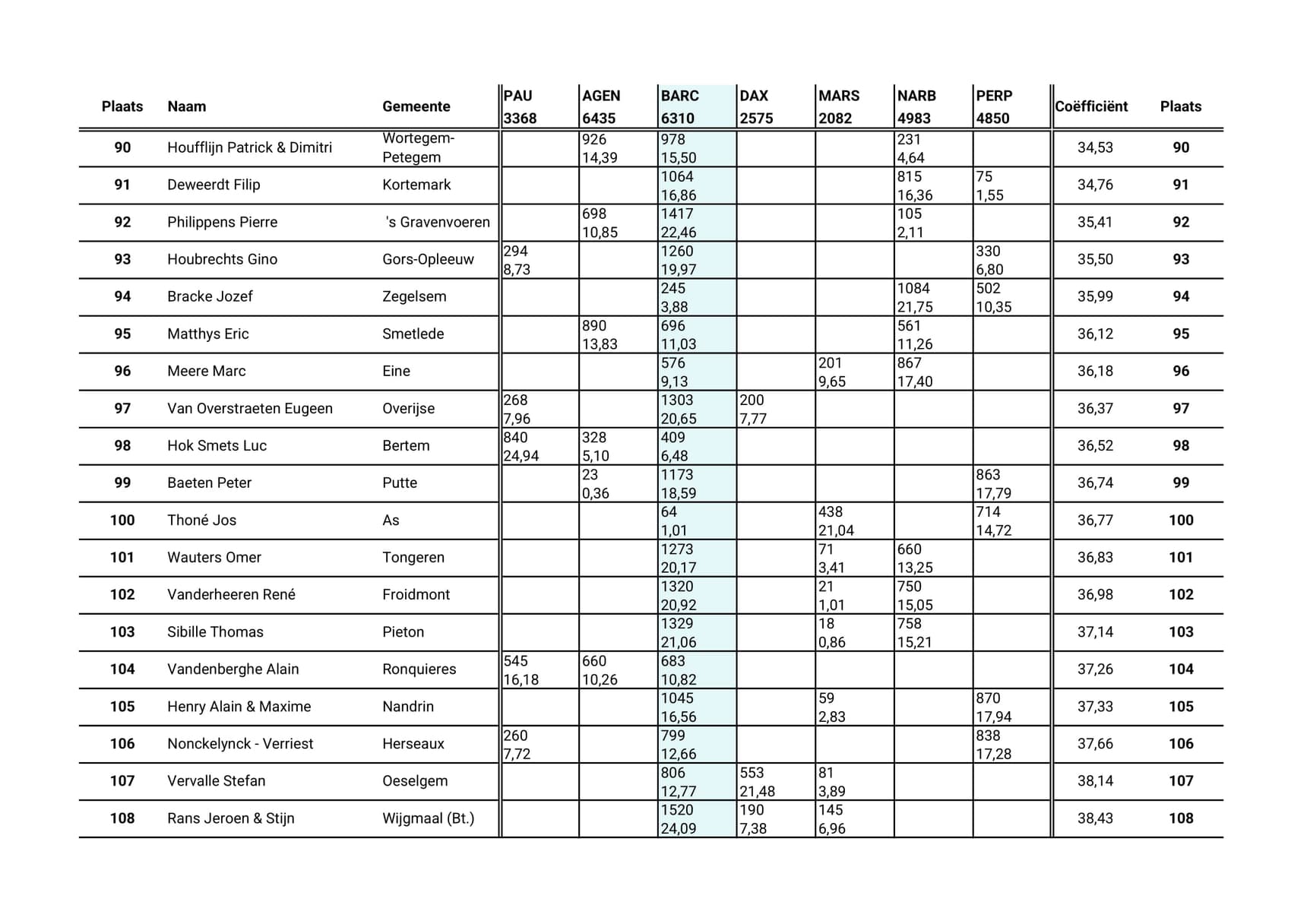
Result "National Marathon Belgium 2024"

Ranking Ace Birds National Marathon Belgium 2024

Winners National Marathon Belgium 2023

  1. Callebout François (Meldert)
  2. Steyaert Christiaan (Evergem)
  3. De Smeyter-Restiaen (Melden)

Get in touch

Do you have any questions or want more information? Don't hesitate to contact us! Our team is ready to help you further.

Contact us

Do you have a question?

Got a question? Then take a look at our Frequently Asked Questions (FAQ)! There you will find quick and easy answers to the most frequently asked questions. Whether you want to know more about our auctions, orders, or are looking for practical information, chances are the answer is already there for you.

view all frequently asked questions